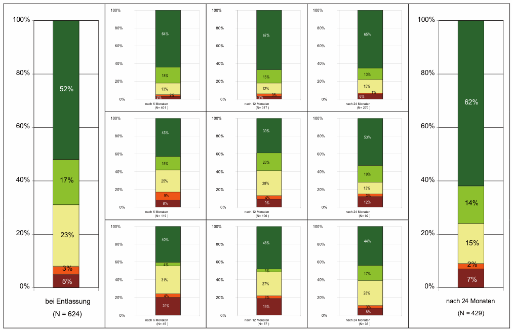
Die Grafik stellt dar, wie sich die Beschwerden durch die Behandlung mit chinesischer Medizin verändert haben.
![]() | deutlich gebessert |
![]() | leicht gebessert |
![]() | unverändert |
![]() | leicht verschlechtert |
![]() | deutlich verschlechtert |
Die großen Säulen links und rechts zeigen die Veränderungen bei Entlassung aus der Klinik und 24 Monate nach der Entlassung.
An den kleinen Säulen in der Mitte kann man die Entwicklung getrennt nach Patienten verfolgen, die bei der Entlassung im grünen, gelben oder roten Bereich waren:
| obere 3 Säulen: | bei Entlassung oder ![]() |
| mittlere 3 Säulen: | bei Entlassung ![]() |
| untere 3 Säulen: | bei Entlassung oder ![]() |
Die jeweiligen Zustände werden immer mit dem Zustand unmittelbar vor dem stationären Aufenthalt verglichen. N ist die Zahl der erfassten Patienten. Sie wurden zwischen 1999 und 2007 stationär behandelt.
Das Dokumentationssystem ist fachlich betreut worden vom Co-Autor der Studie, dem in Fachkreisen hoch angesehenen Biometriker und Medizin-Statistiker Prof. Dr. Wilhelm Gaus, Universität Ulm.
Wenn Sie sich für die Therapierfolge bei anderen Krankheitsbildern interessieren, gehen Sie zur Liste der Diagnosen und Beschwerdebereiche, die in die Dokumentation eingegangen sind.
